Paso 1: Análisis teórico







Un modelo de demostración de aula ha sido diseñado, trabajado a máquina y probado con éxito, como se muestra en la Fig. 1 y 2, en ambientes de aprendizaje para facilitar la comprensión de la mecánica de las estructuras de truss, en el que struts están sujetas a deformación y carga puramente axial.
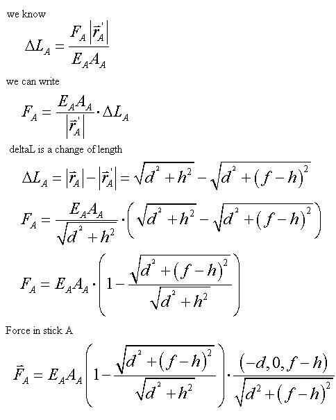
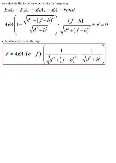
Para las estructuras de pirámide de cuatro barras mostrado se asume que los puntales son inicialmente rectos, que su carga de pandeo de Euler es tan grande que ellos nunca la hebilla, y además que sean lineal elástico a lo largo. Si se conocen la longitud L y altura h, entonces también el radio d es conocido. En el nodo, donde se aplica elementos uniaxial satisfacer una carga vertical F. Bajo la acción de la fuerza F, los cuatro elementos uniaxiales se comprimen y se moverán en verticales hacia abajo. Desplazamiento vertical está marcado como f, como se muestra en la figura 3.
Ecuación final en forma de F=F(f) muestra un diagrama en la figura 7. En la región desde el punto 1 al punto 2 que el sistema está en estado de equilibrio estable. En la región entre los puntos 2-3-4 el sistema está en estado no estable. Desplazamiento vertical f está aumentando aunque la fuerza vertical F está disminuyendo y llega a ser incluso negativa. Entre los puntos 4 y 5 el sistema vuelve a estar en estado de equilibrio estable, porque con el aumento de desplazamiento vertical también está aumentando la fuerza. La fuerza máxima que también define su valor crítico está marcada como Fcr. El sistema de broches de presión a través del punto 2 en el punto 5 a una fuerza constante F = Fcr. Por esta razón el proceso sigue la curva 1-2-5. Cuando el sistema alcanza el punto 5, son los elementos uniaxiales bajo carga de tracción.
En el punto del límite de 2 y 4, la tangente a la trayectoria de equilibrio es horizontal, es decir, paralelo al eje de desplazamiento. Como se verá a través del papel, los puntos límite son de especial importancia en el camino de control de carga siguiendo la técnica, donde después de pasar un punto límite, debido a un incremento de carga adicional, no hay equilibrio estático existe cerca y por lo tanto la estructura dinámicamente quede a través de la siguiente posición de equilibrio la crítica, como se muestra en la figura 7.
El objetivo principal de la ruta siguiendo técnicas es establecer la ruta de la equilibrio de un análisis estructural no lineal en el marco de un esquema de respuesta de desplazamiento de carga.













