Paso 1: El método indirecto

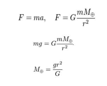
A principios del siglo XIX los científicos utilizado segunda ley de Newton y ley de gravitación universal de Newton para medir la masa de la tierra. Estas ecuaciones son F = ma y F = (GmM) / (r2) respectivamente (m = masa del objeto, a = aceleración, G = constante gravitacional, M = masa de la tierra, r = radio de la tierra). Si sustituir g es decir aceleración debido a la gravedad del 'a' término de aceleración y combinar estos dos ecuación obtenemos.
mg = GmM/r2
Esta ecuación puede resolverse para M, es decir, masa de la tierra.
M = (gr2) / G.
Asumimos que sabemos el valor de G y r. Nos encontraremos con g es decir aceleración debido a gravedad utilizando un pequeño experimento con arduino y unos sensores. Por último vamos a poner todas las cosas para encontrar el valor de M.
Si las ecuaciones se parece un poco torpe, mira la imagen adjunta.
Vamos a empezar con el experimento.