Paso 5: Diseño de la boquilla...









La teoría de la
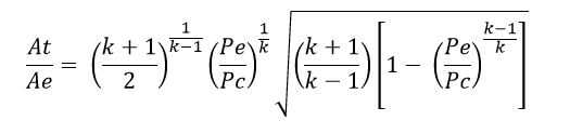
Con la información obtenida en el ultimo paso ya estás listo para calcular las dimensiones de la boquilla! Para más detalles sobre la ciencia detrás de cómo los trabajos de boquilla y cómo se hacen estos cálculos te recomiendo leer el capítulo 3 de la 8ª edición de cohete propulsión los elementos George P. Sutton y Oscar Biblarz.
El enfoque pragmático
Por simplicidad, y porque no soy ningún genio de matemáticas o física será renunciar a una discusión detallada de los cálculos involucrados en el diseño de su boquilla. En su lugar, tenga en cuenta que una fórmula se utiliza para calcular la boquilla óptima para un cohete que funcionará bajo 10.000 pies sobre el nivel del suelo. Los resultados de esta fórmula nos permitirá obtener el diámetro de la boquilla salida. Dado el diámetro de la garganta desde el paso anterior, el diámetro de salida y el ángulo del cono podemos determinar la longitud del cono divergente y donde intersecta con la garganta de la tobera.
Del mismo modo, dado el diámetro de la boquilla, la anchura de los hombros que determina el interior diámetro del cono convergente y el diámetro de la garganta podemos determinar la profundidad (o longitud) del cono convergente, así como el punto donde intersecta con la garganta.
Estas dos longitudes (o fondo) a la profundidad deseada de la garganta nos dará la longitud total de la varilla de grafito que utilizaremos para hacer la boquilla.
Nota que la profundidad de la garganta ideal se mantiene al mínimo. Boquillas disponibles comercialmente la mayoría tendrá cierta profundidad a la garganta. Probablemente encontrará máquina de boquillas que teniendo espacio asignado a la garganta solo cubrirán los errores en los conos divergentes o convergentes de corte ligeramente demasiado profundo. De lo contrario puede acabar ampliando el diámetro de la garganta.
Más boquillas tienen un cono divergente con un aproximadamente un 15 grados medio ángulo. Más también tienen un cono convergente (o entrada) con un medio ángulo de 45 grados o con un medio ángulo de 60 grados. El cono de medio ángulo de 60 grados es menor y se utiliza para mantener la longitud total de la tobera más corta. Cuando hago inyectores aunque, pegue con 15 grados para el cono divergente y a 45 grados para el cono convergente porque como ya has visto, he hecho los cortadores para estos dos ángulos mitad.
La aplicación de diseño de la boquilla
En lugar de explicar y requiere trabajar todas las matemáticas detrás del diseño de la boquilla, he escrito un programa para el diseño de inyectores. Está disponible en la tienda 10 de Windows en la siguiente URL:
https://www.microsoft.com/store/apps/9NBLGGH68GFZ. Esta aplicación funciona en todos los dispositivos Windows 10. Le permitirá entrar en todos los parámetros que has discutido y calculará las dimensiones de la boquilla. Luego puede imprimir esas dimensiones y máquina su boquilla o enviar a un maquinista como Ed Romani Tru-base tener una boquilla personalizada hecha.
La alternativa
Si usted no tiene acceso al dispositivo de Windows 10 (p. ej., escritorio, teléfono o tablet), pide prestado uno o actualizar! Por otra parte, he adjuntado una hoja de cálculo producido por mi amigo y mentor en todo cohetes, Raymond Kinsel. Esta es la hoja de cálculo que usé para hacer la boquilla que se muestra en las fotos durante el vuelo. Hice la aplicación universal de Windows 10 sólo en la preparación de este artículo. He seleccionado 10 de Windows, ya que como programador había todavía no escrito una aplicación Universal de 10 de Windows en C++. En el futuro puedo volver puerto este Windows 8 o incluso OS X o iOS, pero por ahora esto es lo! Producción de una aplicación, independientemente de la plataforma lleva una cantidad sustancial de trabajo, sin importar lo simple la aplicación. Siempre hay trucos con IU, siempre. Impresión bajo Windows 10 no es tan sencillo o simple como debe ser, o como es con la impresión de Win32 GDI, ya que parece estar diseñado para imprimir el contenido de la pantalla sin el conocimiento de las características del dispositivo como DPI. Por supuesto, que probablemente mejorará en el tiempo, o bien mejora mi conocimiento de cómo debe para funcionar y así algún día incluso seré capaz de producir dibujos uno a uno en el listado.