Paso 6: calibración


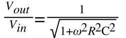
Programación de la computadora para medir la capacidad pulmonar de este dispositivo es bastante sencillo. El dispositivo funciona tal que el valor del condensador depende directamente de cuánto de ella está sumergida en agua. La ecuación anterior relaciona con la capacitancia la frecuencia del voltaje de entrada del circuito. Una vez que esta ecuación es programada en el ordenador, puede utilizarlo para determinar niveles de diferente capacidad con volúmenes de aire diferentes.
En este punto, puede comenzar la calibración. Capacitancia depende directamente de la altura del agua en que está sumergido, y esta altura depende de cuánto aire se sopla dentro del vaso, podemos asumir que la capacitancia es directamente proporcional a la capacidad pulmonar. Por lo tanto, si la capacitancia se mide en varios diferentes saben volúmenes pulmonares, puede instalarse una línea de tendencia a los datos y la ecuación de esta línea puede utilizarse para determinar el volumen de pulmón del valor de la capacitancia.
Se adjunta una copia de nuestro código de Labview.













