Paso 12: Conducción más LEDs u otras cargas


















Hasta ahora, sólo utilizamos componentes que muy poca corriente. Pero si queremos cosas de coche que más de 20 mA, la corriente suministrada por la salida de Arduino no será suficiente. Necesitaremos algún tipo de amplificador de corriente, y que cuando el transistor entra.
Cuando desea cosas del coche que funcionan con un voltaje diferente que el Arduino, también necesitarás un transistor.
Una pequeña corriente de la base de que el emisor produce una corriente mucho más alta del colector al emisor.
Puede encontrar más información en el paso 3.
Medición de voltaje y la corriente
Antes de que podemos empezar a construir nuestro circuito de transistor, necesitaremos saber el voltaje y la corriente de la carga que desea utilizar.
Conectar la carga (motor, ventilador, LED, bombilla, resistencia, solenoide...) a la alimentación adecuada, establece el multímetro en voltios DC y mida el voltaje en la carga, o directamente a la carga. Voltaje se mide en paralelo con la carga. (ver imagen)
Ahora desconecte el cable negativo de la carga de la fuente de alimentación. Luego conecte el cable rojo de su multímetro en el conector de amperios y establece en amperios de corriente continua. Luego conecte el cable negro del multímetro a la tierra de la alimentación y el cable rojo del multímetro en el cable negativo de la carga. Corriente siempre se mide en serie con la carga. (ver imagen)
Nota: no olvide conectar el cable rojo hacia el conector de voltaje del multímetro, si se intenta medir el voltaje con la entrada actual, básicamente será crear un corto circuitoy soplar el multímetro fusibles o incluso destruirlo totalmente. Algunos multímetros de extremo superiores pitará y mostrar una advertencia cuando se configura para voltaje mientras que se utiliza el conector de corriente.
Cálculo de la resistencia de base para el transistor
Un transistor tiene una ganancia cierta corriente, típicamente alrededor de 100. El símbolo para obtener corriente continua es una letra griega beta (β) o HFE.
Icolector-emisor = Ibase-emisor · HFE.
Encontrar el valor β para su transistor específico en la hoja de datos. Debe haber un gráfico llamado "Ganancia de corriente continua". (ver imágenes) En el eje horizontal, usted puede encontrar el colector actual, esto es la corriente consumida por la carga. Tenga en cuenta que la mayor parte del tiempo, se utiliza una escala logarítmica.
Anote el valor β correspondiente a su carga actual.
Necesitamos conocer la corriente del emisor de base, dividir el colector actual por el actual aumento de β.
Iemisor de base = Icolector-emisor / HFE
Ahora toma la tensión de alimentación de tu Arduino y restar 0.7v. Esto es porque la ensambladura del emisor de base silicio del transistor tiene una caída de tensión de 700mV. (No tienes que saber por qué, sólo sé que la caída de tensión es.)
Ahora usar ley de Ohm para calcular la resistencia de la resistencia de base.
Base R = (VArduino - 0.7v) / Ibase-emisor
Nota: Si la corriente de base es mayor que 20 mA (más de Arduino puede suministrar), deberás utilizar un transistor con un mayor valor β o un transistor Darlington.
Por ejemplo, quiero conducir un motor de 200mA, 12v con un transistor NPN BD139 y un Arduino 5v:
Como se puede ver en el segundo gráfico, a 200mA, el aumento actual es de 97.
Iemisor de base = 0.2A / 97 = 0.00206A ≈ 2.1mA
Rbase = (5v - 0.7v) / 2.1mA = 4.3v / 0.0021A ≈ 2048Ω → 1.8kΩ
En este caso, es mejor a la resistencia de un resistor de valor inferior de E12, para asegurarse de que el transistor está completamente abierto.
Cuando se utiliza una carga inductiva, como un solenoide, relé, motor etc. deberás utilizar un diodo flyback. Esto es para evitar que el transistor sufra daños por picos de voltaje causadas por el solenoide. (Se obtiene autoinductancia dentro de la bobina cuando es súbitamente de). (ver imagen) Usted puede utilizar casi cualquier diodo rectificador, utilicé un 1N4007 regular, por ejemplo.
Nota: el Arduino de tierra debe conectarse siempre a la tierra del circuito transistor.
Nota: Sólo puede utilizar este método con cargas de bajo voltaje DC.
MOSFETs de baja tensión
Un normal (BJT, Bipolar Junction Transistor) como se describió anteriormente, es operado por la corriente del emisor de base. MOSFET (transistores de efecto de Metal óxido Semiconductor campo) es controlado por el voltaje de la puerta. (ver paso 3)
En la hoja de datos de tu MOSFET, encontrar el voltaje de la puerta para drenar el gráfico actual. (ver imagen, gráfico es para un MOSFET BUZ11)
Como se puede ver, a 3,3 v, la corriente sigue siendo bastante baja e inútil en la mayoría de los casos. Sin embargo, en 5v, la corriente de drenaje podría ser suficiente para su aplicación específica.
Se recomienda usar desplegable (purgador de puerta) resistencia en el gate de lo MOSFET para impedir que un campo eléctrico de la creación y encender el MOSFET, ya que es muy sensible.
Al igual que con los transistores normales, también debe usar un diodo flyback al conectar cargas inductivas. (Sin embargo, algunos MOSFET tiene construido en)
(ver imágenes de esquemas)
MOSFETs de alta corriente
Para obtener corrientes más altas, tenemos que un campo eléctrico mayor, así que necesitamos un mayor voltaje de la puerta.
Podríamos utilizar transistores para hacer esto, pero es más fácil utilizar un opto-acoplador, o un opto-aislador. Esto es básicamente un LED infrarrojo y un fototransistor (sensor de luz) en un solo paquete. Cuando se enciende el LED, el fototransistor conduce.
Parece sólo un IC con piernas sólo 4 (o 6).
Utiliza un opto-acoplador también significa que hay no hay conexión eléctrica entre el Arduino y el MOSFET, así que si falla el circuito de mayor tensión, es casi imposible que lleguen a Arduino y destruye. Esto es una gran ventaja.
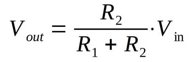
Echa un vistazo a la imagen para el esquema. Puede utilizar la fórmula de los divisores del voltaje para calcular R1 y R2.
Por ejemplo, si quiero manejar una carga de 12v 17A con un BUZ11, será necesario un voltaje de 6v de la puerta (ver gráfico).
es de 6V 12v/2, así que R1 = R2. Podrían ser 47kΩ, por ejemplo.
En la fórmula, Ven es la tensión de alimentación, yhacia fuera es el voltaje de la puerta.
Relés de
Para conducir el alto voltaje o CA carga, tendrás un relé. Consulte el paso 3 para obtener más información.
El Arduino no puede conducir un relé directamente, así que necesitarás un transistor (pequeño). Un relé es una carga inductiva, por lo que tendrá un diodo flyback para proteger el transistor.
Utilice el método anterior para calcular la resistencia de base.
Echa un vistazo a la imagen de arriba para el esquema.
ADVERTENCIA: Pared puede matar, si no eres lo suficientemente cuidadoso. No dejar conexiones 115V o 230V expuestas y desconecte el circuito cuando se trabaja en él.
Resumen
- Si quieres cosas de coche como motores o luces que dibujar más de 20mA o funcionar a tensiones diferentes 5v o 3.3v, utilizar un transistor, MOSFET o relé.
- Utilice siempre una resistencia en la base de un transistor para controlar la corriente de base.
- Siempre use un resistor de pull-down en la puerta de un MOSFET.
- Siempre utilice un diodo flyback al conectar cargas inductivas.
Extras: Transistores PNP
En los párrafos anteriores, sólo utilizamos transistores NPN, que toman una señal positiva para encender. Transistores PNP por otro lado enciende cuando un voltaje negativo es aplicado a la base, dando por resultado un "negativo" del emisor de base actuales. (negativos, en comparación con el emisor en un transistor PNP, el emisor emite "cargas positivas". Es sólo los electrones que se mueven, y una carga positiva sólo significa la ausencia de electrones).
Echa un vistazo a la imagen de arriba para el esquema. Al igual que con la variante de NPN la flecha en el emisor indica la dirección de la corriente.
Nota: el transistor PNP llevará a cabo cuando el pin de salida del Arduino es bajo.