Paso 1: El proyecto






1 - el filtro:
Centrándose en las bajas frecuencias (pulsaciones) elegí un clave Sallen topología activado filtro de paso bajo (imagen 1).
La frecuencia de corte viene dada por "fo" (ecuación de imagen 2). Algunos valores de prueba, me enteré de que una frecuencia de 100 Hz de corte es lo suficientemente bueno para música electrónica/rap!
Puede que necesite probar algunas frecuencias en función del tipo de música que escuchas. Usted puede también elegir otro tipo de filtro, digamos, un paso alto, paso banda, para parpadear el led según sus necesidades.
Mis valores:
R1 = R2 = 15K ohmios
C1 = C2 = 100 nF
También se puede ver en la última foto un diagrama de bode de la ganancia del filtro que utiliza, se puede ver una frecuencia de corte menor que el calculado, alrededor de 60-70 Hz. Así que asegúrese de creer no sólo en las ecuaciones!
Para los amplificadores operacionales, usé un LM358N.
2 - la ganancia:
Prueba algunos volúmenes de mi cuaderno de salida y medición de la tensión, me enteré de que un aumento de 100 veces trabajaría para mí. Los voltajes que he en un volumen bajo (alrededor de 15 mV rms) combinado con 100 veces es suficiente para producir una salida de 1, 5V.
Puede que necesite medir su propio nivel de tensión y calcular la ganancia necesaria para conseguir un voltaje mínimo de alrededor de 1 a 1, 5V. También depende del transistor que va a utilizar, así que usted puede necesitar cambiar la ganancia basada en ella.
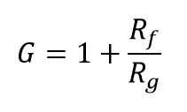
La ganancia se obtiene con un simple amplificador de voltaje no inversor (imagen 3), y se calcula por "G" (ecuación de imagen 4).
Mis valores:
RF = potenciómetro de 100K ohmios
RG = 1K Ohm
3 - el transistor:
Para este proyecto usé un TIP 122 con una base resistencia de 1K Ohm según la imagen 5.