Paso 5: Diagrama de bloques



(Leyendas de la imagen: (1) diagrama de bloques del detector: desde la creación de la señal para la adquisición de datos. , (2) Nota de aplicación de fabricante que confirma el concepto de diseño y ayudó a elegir (3) cálculos rápidos para el ajuste de valor de componente componente inicial valores.. )
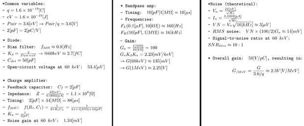
Funcionalidad de los diferentes módulos de detector, sus componentes y cálculos asociados.
Al evaluar el detector, la sensibilidad (* 1) fue crucial. Un preamplificador de carga extremadamente sensibles es necesario porque un rayo incidente sólo puede generar unos mil electrones en la región de agotamiento del semiconductor. Porque amplificar un pulso de corriente pequeña, se debe prestar especial atención a la selección de componentes, protección cuidado y diseño de circuitos.
(* 1: energía mínima que se depositará en el detector para producir una señal distinta y la relación señal a ruido.)
Elegir correctamente valores de los componentes, en primer lugar resumir los requisitos, las especificaciones deseadas y las limitaciones:
- Sensores:
-Rango de detección posible grande, 1keV - 1MeV
-Baja capacidad para minimizar el ruido, 20pF-50pF
-Despreciable la corriente de fuga en diagonal inversa.
- Amplificación y la discriminación:
-Preamplificadores sensibles de la carga
-Diferenciador para formar del pulso
-Comparador de pulso de la señal cuando por encima del umbral establecido
-Comparador de ruido de salida cuando dentro del intervalo de umbral
-Comparador de coincidencias de canal
-Umbral general para filtración de sucesos.
- Digital y micro controlador:
-Rápida de analógico a digital convertidores
-Salida de datos para procesamiento e interfaz de usuario.
- Alimentación y filtrado:
-Reguladores de voltaje para todas las etapas
Fuente de alta tensión para generar la energía diagonal
-Adecuada filtración de toda distribución de energía.
Requisitos establecidos anteriormente me llevaron a elegir los siguientes componentes:
-DC convertidor: LM 2733
-Amplificadores de la carga: AD743
-Otras Op-Amps: LM393 y LM741
-Lectura de DAQ: Arduino Nano.
Y especificaciones impuestas adicionales incluyen:
-Tasa funcionamiento: > 250 kHz (84 canales), 50 kHz (coincidencia)
-Resolución: 10 bit ADC
-Sample rate: 5kHz (8 canales)
-Voltajes: Arduino 5V, 9V op-amps, ~ 12V Biasing.
La total disposición y orden de los componentes anteriores se representa en la figura de diagrama de bloque.
Cálculos
Hice mis cálculos con los valores de los componentes utilizados durante la fase de prueba (véase la tercera imagen adjunta arriba).
(*: Algunos valores de los componentes no son lo mismo como estaba inicialmente previsto, ni las mismas que las actualmente en vigor, no obstante, estos cálculos proporcionan un marco de orientación.)