Paso 6: Tarea #1: problemas cuadráticos (solución)

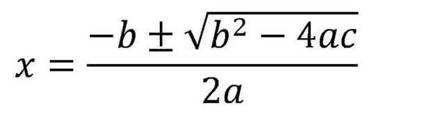
OK, esta es mi solución para el resolvente cuadrático, tuyo puede variar!
a =1 b =0 c =0print (-b+(b**2-4*a*c)**0.5)/(2*a) print (-b-(b**2-4*a*c)**0.5)/(2*a)
Errores comunes:
- Al multiplicar dos variables entre sí o con un número tiene el signo de multiplicación, por ejemplo, en lugar de 4ac deberás tipo 4 * una * c
- Algunos paréntesis fijaron mal
- Olvidó que hay dos posibles soluciones
- Los errores del programa al escoger malos valores para a, b y c. Esto es debido a tratando de tomar la raíz cuadrada de números negativos, que no podemos. En este momento nosotros no podemos filtrar los errores todavía.
Por lo tanto, si usted entiende esta cuadrática solucionador y fueron capaces de programar, vamos a dirígete al siguiente paso!
Si no logras hacer esto, por favor mire su programa otra vez y los errores del commom enumerados. Si eso no ayuda ir a pocos pasos de nuevo y leer nuevamente. *.Step-cuerpo > pre, pre {color de fondo: rgb(39,40,34), color: rgb(248,248,242); padding: 5.0px;}